


+38 (067)3640868 - Cільський голова +38 (098)6417975 - Заступник сільського голови з питань діяльності виконавчих органів ради +38 (096)2132751 - Секретар ради
Головна » Протокол з визначення опорного закладу
Головне меню
Депутати громади
Проекти рішень
Рішення сесії
Проекти рішень
Корисні посилання
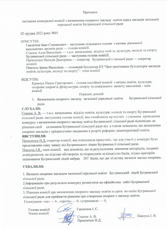
Протокол з визначення опорного закладу
Кількість переглядів: 957


